How to Increase User Engagement on the Website? | 6 Key Strategies
User engagement is a key metric every website owner strives to optimize. A recent study from Microsoft found that human attention spans today are notoriously low–just 8 seconds.
How does this impact publishers whose income relies on engaging the audiences with online content?
This article will explore ways for publishers to measure and improve their users’ engagement levels and how this can support their monetization performance.
Why User Engagement Matters?
User engagement is one of the key success factors for publishers and content creators. It demonstrates that you have an audience willing to interact with your content.
For publishers who monetize their websites with ads, user engagement directly contributes to higher ad revenue. If users are engaged with your content, they spend more time on your site and ultimately view more ads. An engaged audience is also considered more valuable for advertisers because active users are likelier to interact with the ads.
The chart below demonstrates that the first 10 seconds of the page visit are critical for users’ decision to stay on the webpage or leave.

Source: Nielsen Norman Group
If your page survives the first 10 seconds mark, there is a big chance that users will stay and look around. Therefore, the first impression of the webpage is critical for user engagement.
Attention span decreases gradually from the beginning of the article to the end of it, so it’s important to make various optimizations to retain user engagement at a more or less equal level.
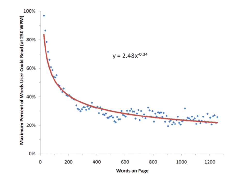
A recent eye-tracking study showed that, on average, users read half the information only on those pages with 111 words or less.

Source: Nielsen Norman Group
Statistically speaking, users will read 28% of the words if they read every moment of their page visit. But in reality, they get distracted by various parts of the website like layout, navigation, and images. So, users will likely read about 20% of the text on the average page.
How to Measure User Engagement?
There are 5 key metrics you should look at when measuring user engagement:
- Bounce rate The percentage of visitors who leave your site after viewing only one page and not taking any further action like commenting or clicking the CTA button. Bounce rate is a helpful metric, but it’s essential to study it holistically with other metrics and compare it with industry benchmarks.

Source: Customedialabs
For example, blog pages usually have high bounce rates (65%-90%) because users typically leave the page after getting the value from the article. Looking at bounce rate alone may be confusing because it doesn’t necessarily indicate that the content isn’t engaging. In this case, a more useful metric would be scroll depth.
- Time on page Also known as ‘average session duration’, this is the average length of sessions on your site. Google Analytics counts a session from the moment a user lands on your page until the session ends (i.e., he exits the site).
- Pageviews Define a single view of a page on your site. For example, if a user clicks reload after reaching the page, this is counted as an additional pageview. This metric is crucial for publishers who show ads on their website because the higher the number of pageviews, the higher the number of ad impressions.
- Comments or shares Demonstrate how much visitors are engaging with your content by commenting on it and sharing it.
- Returning visitor percentage Defines the number of visitors who have already been to your website and then returned from the same device. A good returning visitor rate is around 30%.
Extra Tip!
- Scroll depth Shows how far a visitor scrolls down a web page. This metric can be very helpful in assessing how committed users are to reading your content. If the user scrolls down past 50% of the article, this indicates deep engagement.
You can look at scroll depth to identify where you need to add extra content to increase engagement. Google has a free tool called News Tagging Guide (NTG) that connects to your Google Analytics account through a simple tag and allows you to implement scroll depth and measure newsletter sign-ups and social shares.
You can also use tools like Google Optimize to set up A/B tests, identify which content users engage with the most, and apply the same practices to other website areas.
How to Increase User Engagement?
Now that you know which metrics to measure, let’s look at 6 effective strategies to increase user engagement.
1. Add More Images and Videos
Images, videos, QR codes, and other interactive content inside the article help retain user engagement. Let’s face it–nobody will read a huge block of text, even if its information is valuable.
In fact, according to a study by Google and Yahoo, visitors stay twice as long when the first article they land on contains an image compared to articles without a top image.
Below is a good example from dw.com, where the image is placed right after the third paragraph. Because attention spans normally start to decrease by the third paragraph, this is a good place to hook users back in.

Source: dw.com
Pro tip! If you’re monetizing your website with ads, consider placing the ad right after where you put the image within an article. Naturally, the image will grasp users’ attention, and they’ll be more likely not to oversee the ad and have a chance to interact with it.
2. Implement Related Articles Block
Related articles block, or recommended content widget, automatically suggests top recommended articles to the customer. Most of the time, it’s placed at the end of the article. However, sometimes it can also be placed within it.

This technique is based on a simple premise–if users scroll all the way down to the related articles section, there’s a big chance they’re interested in your content. So why not incentivize them to read more of it?
It’s a great strategy to increase user engagement with the website and generate traffic to other articles within your site (generate more pageviews). Moreover, this technique allows publishers to display more ads within one session.
3. Encourage Users to Turn On Web Push Notifications
Web push notifications are alert-style messages that float in at the top or left-hand corner on a desktop. They’re very similar to app push notifications.

Not only does this technique help attract more traffic to the website, but it also increases the number of returning visitors (defined as loyalty), especially if the web traffic is already large.
Having an audience of returning users greatly helps with overall user engagement because loyal users are the ones who engage with the content the most.
Below you can see the effectiveness of web push notification implementation for one of Setupad’s publishers.

4. Work Out Optimal Ad Density
As mentioned, user engagement directly affects publishers’ ad revenue. The more users engage with your content, the more they interact with the ads they see.
Optimal ad density (ads per page) should be between 3-5 for news publishers. This ensures the highest revenue potential without decreasing the average CPM.
Ad density should be higher at the top because most users never reach the bottom of the screen, so stacking a lot of ads in below-the-fold (BTF) positions will only lower the overall ad viewability. You should only keep a few ad placements in BTF for more loyal visitors, while the rest of the ads should be placed at the top.
Setupad’s Yield Formula is available for all Setupad clients and allows publishers to see how individual improvements of some key metrics can increase overall ad revenue.
In the example below, we can see that by increasing ad density value by 1, the projected revenue for the publisher increases by 28%, considering we keep the rest of the metrics the same. You can also see that such action wouldn’t significantly impact the publisher’s eCPM because the ad inventory would still be considered valuable.


Such a helpful tool helps you see each metric’s role in your overall monetization performance and make changes accordingly.
5. Optimize Ad Placements
We have extensively covered optimal ad placement optimization strategy on our blog, so this shouldn’t be new. But the goal should always be to optimize ad placements for maximum viewability. If your ads aren’t viewable, users can’t engage with them.
If the viewability is low, implement lazy-loading for all below-the-fold (BTF) ads. This will ensure the ad load is delayed until the banner is in view, which means ads outside the viewport won’t be loaded until they are nearly on-screen. This will also improve your website loading speed and increase the average CPM.

If your ad viewability score is already high (above 70%), Setupad experts suggest moving the second (lower) article banner higher by 1-2 paragraphs to get more high-value impressions.
6. Use Engaging Ad Formats
User engagement optimization shouldn’t just include your content and website design but also your ads. At the end of the day, ads constitute a big part of user experience with your website.
Engaging ad formats include instream and outstream video ads and rich media ads, which are highly interactive.
Native formats look authentic and mirror the website’s look and feel. Therefore, they are less prone to banner blindness.
You can also place ads inside the related articles block or immediately after it to generate even more high-value impressions. Because users will stop to browse the recommendation widget, they will likely interact with the ads, too.

Final Words
There are many ways you can improve your user engagement. Most importantly, try to drill down into your metrics and see where improvements can be made. But note that you’ll see the best results if you holistically perform these optimizations.
Setupad experts provide all our publishers with guidance on how user engagement levels and monetization strength can be improved in their individual cases. These consultations come at no extra cost. Sign up today to unlock your highest monetization potential.


